Home Favorites My Account Menu
connexion
Playwire Publicité

Télécharger la feuille de travail

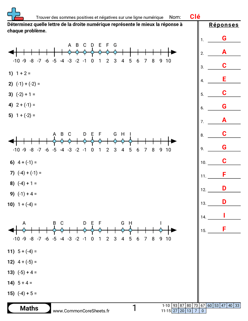
Fiches gratuites de math pour 5ème (7ns1b) sur Trouver des sommes positives et négatives sur une ligne numérique. Chaque fiche contient 15 exercices avec corrigé et convient aux enseignants et à l'enseignement à domicile. Vous pouvez télécharger le PDF, créer des cartes mémoire ou l'utiliser pour l'apprentissage en ligne.

Select a Different Activity >
Informations sur la feuille >
Trouver des sommes positives et négatives sur une droite numérique
Ouvrir le PDF
Personnaliser Aperçu
Ouvrir dans une nouvelle fenêtre
Sélectionnez la feuille de calcul
pages
Langue
Mise en page de la feuille>
Seed
Titre
Instructions
Nombre de problèmes
Date d'échéance
Inclure la norme sur la feuille
Police de caractère
Taille de police pt
Espace minimum sous les problèmes mm
Colonne de réponse
Problem Number
orientation de la feuille
Playwire Publicité